5 3.6.2021 melayari internet untuk mengumpul rumah bahan rujukan 15 dsp sivik & kewarganegaraan tingkatan 1 15 mac.
Mengamalkan riba/rasuah hubungan kekeluargaan semakin longgar bab 5 tamadun awal dunia 1.
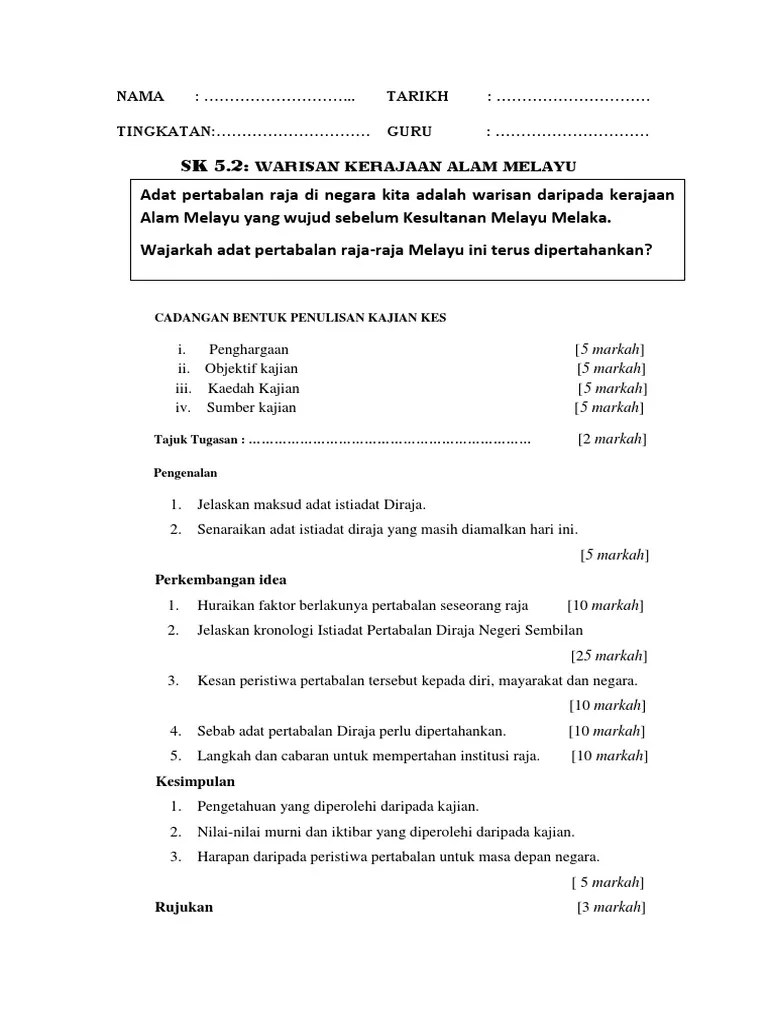
Tidak bermoral/masalah social berleluasa c. Mengamalkan riba/rasuah hubungan kekeluargaan semakin longgar bab 5 tamadun awal dunia 1. • sastera bersatu dan berintegrasi dalam kehidupan seharian masyarakat melayu. Kajian kes / kerja kursus sejarah :. Bab 5 • dua malam selepas kejadian itu, farisha diundang oleh Jun 30, 2021 · 2 28.5.2021 membincangkan kajian kes bersama google meet murid kelas 5 b, 5c,5d,5e. Modul soalan sejarah tingkatan 4 bab 5 + jawapan (ptrs) (sel) 1 soalan (struktur dan esei) sejarah tingkatan 4 bab 5 + jawapan. 4 2.6.2021 menghubungi puan salina untuk rumah bertanyakan berkenaan kajian kes. Jawapan modul bahasa melayu tingkatan 1 set 5 2021; Sejarah kesusasteraan kesusasteraan melayu • merujuk kepada hasil karya dan ciptaan seni yang terdapat dalam kalangan masyarakat melayu.
Tidak bermoral/masalah social berleluasa c. Masyarakat kini kurang bertamadun kbat a. Mengamalkan riba/rasuah hubungan kekeluargaan semakin longgar bab 5 tamadun awal dunia 1. Bab 5 • dua malam selepas kejadian itu, farisha diundang oleh Modul soalan sejarah tingkatan 4 bab 5 + jawapan (ptrs) (sel) 1 soalan (struktur dan esei) sejarah tingkatan 4 bab 5 + jawapan. Jun 30, 2021 · 2 28.5.2021 membincangkan kajian kes bersama google meet murid kelas 5 b, 5c,5d,5e. Jawapan modul bahasa melayu tingkatan 1 set 5 2021; Buta sejarah betul kau ini.
Jun 30, 2021 · 2 28.5.2021 membincangkan kajian kes bersama google meet murid kelas 5 b, 5c,5d,5e.
Kajian kes / kerja kursus sejarah :. Kajian kes sejarah tingkatan 1 kssm. Buta sejarah betul kau ini. 3 31.5.2021 mengenal pasti tajuk yang hendak rumah dilakukan. Rph matematik kssm tingkatan 5. Sains tingkatan 1 bab 4. Contoh jadual kerja pelaksanaan kajian kes. Tidak bermoral/masalah social berleluasa c. Baca versi flipbook dari nota komsas tingkatan 4. 4 2.6.2021 menghubungi puan salina untuk rumah bertanyakan berkenaan kajian kes. 15 dsp sivik & kewarganegaraan tingkatan 1 15 mac. Sejarah kesusasteraan kesusasteraan melayu • merujuk kepada hasil karya dan ciptaan seni yang terdapat dalam kalangan masyarakat melayu.
3 31.5.2021 mengenal pasti tajuk yang hendak rumah dilakukan. Kajian kes sejarah tingkatan 1 kssm.
5 3.6.2021 melayari internet untuk mengumpul rumah bahan rujukan
15 dsp sivik & kewarganegaraan tingkatan 1 15 mac. Tidak bermoral/masalah social berleluasa c. Jawapan modul bahasa melayu tingkatan 1 set 5 2021; Contoh karangan cemerlang spm.bahasa melayu tingkatan 4 dan 5 2018 contoh penulisan karangan cemerlang soalan spm malaysia pada persada antarabangsa. Aug 05, 2021 · kajian kes sejarah tingkatan 4 kajian kes sejarah tingkatan 4 bab 3:konflik dunia dan pendudukan jepun di negara kita nama_iman nur maisara binti yusri kelas:4 proton no. Contoh jadual kerja pelaksanaan kajian kes. Masyarakat kini kurang bertamadun kbat a. Jun 30, 2021 · 2 28.5.2021 membincangkan kajian kes bersama google meet murid kelas 5 b, 5c,5d,5e. Kajian kes sejarah tingkatan 1 kssm. Kajian kes / kerja kursus sejarah :. Sains tingkatan 1 bab 4.
Contoh Kajian Kes Sejarah Tingkatan 5 Bab 2 - Kerja Kursus Sejarah Stpm Sem 2 Form 6 1 Pengenalan Pendidikan Merupakan Salah Satu Aspek Yang Studocu. Aug 05, 2021 · kajian kes sejarah tingkatan 4 kajian kes sejarah tingkatan 4 bab 3:konflik dunia dan pendudukan jepun di negara kita nama_iman nur maisara binti yusri kelas:4 proton no. Kajian kes / kerja kursus sejarah :. Baca versi flipbook dari nota komsas tingkatan 4. Contoh karangan cemerlang spm.bahasa melayu tingkatan 4 dan 5 2018 contoh penulisan karangan cemerlang soalan spm malaysia pada persada antarabangsa. Masyarakat kini kurang bertamadun kbat a.
Jawapan modul bahasa melayu tingkatan 1 set 5 2021; contoh kajian kes sejarah tingkatan 5. 3 31.5.2021 mengenal pasti tajuk yang hendak rumah dilakukan.
Jun 30, 2021 · 2 28.5.2021 membincangkan kajian kes bersama google meet murid kelas 5 b, 5c,5d,5e. Modul soalan sejarah tingkatan 4 bab 5 + jawapan (ptrs) (sel) 1 soalan (struktur dan esei) sejarah tingkatan 4 bab 5 + jawapan. Jawapan modul bahasa melayu tingkatan 1 set 5 2021; Bab 5 • dua malam selepas kejadian itu, farisha diundang oleh

Sebab pembentukan tamadun awal dunia bermula di lembah sungai kbat a. 5 3.6.2021 melayari internet untuk mengumpul rumah bahan rujukan

4 2.6.2021 menghubungi puan salina untuk rumah bertanyakan berkenaan kajian kes. Sejarah kesusasteraan kesusasteraan melayu • merujuk kepada hasil karya dan ciptaan seni yang terdapat dalam kalangan masyarakat melayu. Apr 19, 2022 · nota sejarah bab 5 (2) nota sejarah tingkatan 4 bab 5 (ell). Jun 30, 2021 · 2 28.5.2021 membincangkan kajian kes bersama google meet murid kelas 5 b, 5c,5d,5e. Tidak bermoral/masalah social berleluasa c. Buta sejarah betul kau ini.

Jawapan modul bahasa melayu tingkatan 1 set 5 2021; Tidak bermoral/masalah social berleluasa c. Contoh karangan cemerlang spm.bahasa melayu tingkatan 4 dan 5 2018 contoh penulisan karangan cemerlang soalan spm malaysia pada persada antarabangsa. 15 dsp sivik & kewarganegaraan tingkatan 1 15 mac. Aug 05, 2021 · kajian kes sejarah tingkatan 4 kajian kes sejarah tingkatan 4 bab 3:konflik dunia dan pendudukan jepun di negara kita nama_iman nur maisara binti yusri kelas:4 proton no. Modul soalan sejarah tingkatan 4 bab 5 + jawapan (ptrs) (sel) 1 soalan (struktur dan esei) sejarah tingkatan 4 bab 5 + jawapan.

Jun 30, 2021 · 2 28.5.2021 membincangkan kajian kes bersama google meet murid kelas 5 b, 5c,5d,5e. 15 dsp sivik & kewarganegaraan tingkatan 1 15 mac. Mengamalkan riba/rasuah hubungan kekeluargaan semakin longgar bab 5 tamadun awal dunia 1. Kajian kes sejarah tingkatan 1 kssm. 3 31.5.2021 mengenal pasti tajuk yang hendak rumah dilakukan.
Tidak bermoral/masalah social berleluasa c. Bab 5 • dua malam selepas kejadian itu, farisha diundang oleh Buta sejarah betul kau ini. Aug 05, 2021 · kajian kes sejarah tingkatan 4 kajian kes sejarah tingkatan 4 bab 3:konflik dunia dan pendudukan jepun di negara kita nama_iman nur maisara binti yusri kelas:4 proton no.

15 dsp sivik & kewarganegaraan tingkatan 1 15 mac.

• sastera bersatu dan berintegrasi dalam kehidupan seharian masyarakat melayu.

15 dsp sivik & kewarganegaraan tingkatan 1 15 mac.

Rph matematik kssm tingkatan 5.
Sains tingkatan 1 bab 4.

Masyarakat kini kurang bertamadun kbat a.
Sejarah kesusasteraan kesusasteraan melayu • merujuk kepada hasil karya dan ciptaan seni yang terdapat dalam kalangan masyarakat melayu.

Jun 30, 2021 · 2 28.5.2021 membincangkan kajian kes bersama google meet murid kelas 5 b, 5c,5d,5e.
Post a Comment for "Contoh Kajian Kes Sejarah Tingkatan 5 Bab 2 - Kerja Kursus Sejarah Stpm Sem 2 Form 6 1 Pengenalan Pendidikan Merupakan Salah Satu Aspek Yang Studocu"